Certifikáty ISO
Environmentálne manažérstvo ISO 14001:2015
Certifikát potvrdzuje, že naša spoločnosť pracuje v súlade so zásadami ochrany životného prostredia a uplatňuje postupy, ktoré minimalizujú negatívne vplyvy na okolie.
Oblasti certifikácie zahŕňajú:
- demolačné práce
- zemné práce
- špecializované stavebné činnosti
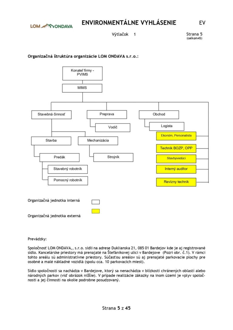
Eniviromentálne vyhlásenie
Politika kvality, environmentu a BOZP
Certifikát - Licencia pre medzinárodnú prepravu
Táto licencia oprávňuje držitela pôsobiť v medzinárodnej preprave tovaru po ceste v prenájme alebo za úhradu a použiť akúkoľvek trasu na cesty alebo časti ciest vykonaných v prenájme alebo za úhradu v rámci územia Spoločenstva, a ak je to vhodné za týchto
podmienok


































































